书记信箱
院长信箱
纪委信箱
学院首页
学院概况
学院简介
组织机构
现任领导
党建思政
党建工作
政策文件
工会活动
师资队伍
师资队伍
教授风采
本科教育
专业设置
课程建设
管理制度
实践教学
教学动态
教学科研
质量工程项目
教研团队
科研项目
科研团队及院所
学术动态
教研科研成果
招生就业
就业信息
招生信息
研究生教育
学科领域
导师队伍
日常管理
研究生学研网
学生工作
团学动态
心理健康
奖勤助贷
学科竞赛-实践活动
师生风采
学生风采
教师风采
校友之家
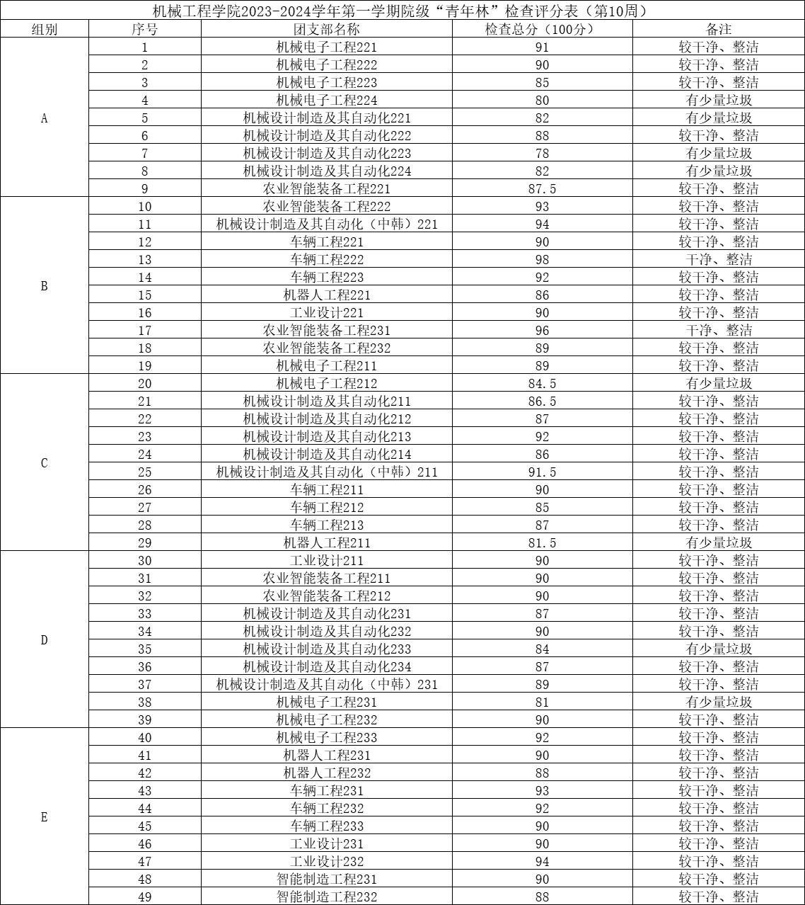
机械工程学院2023-2024学年第一学期院级“青年林”检查评分表(第10周)
发布时间:2023-11-13 发布者:张立亮 点击:
机械工程学院2023-2024学年第一学期院级“青年林”检查评分表(第10周)