学校官网
校历
书记邮箱:luohb@ahstu.edu.cn
院长邮箱:xiaxm@ahstu.edu.cn
纪委邮箱:dqxyjw@ahstu.edu.cn
学院首页
学院概况
学院简介
机构设置
党政领导
党建思政
党建工作
思政工作
支部动态
工会园地
师德专题
教育教学
教学管理
专业建设
课程建设
实践教学
师资队伍
教学团队
教师风采
职称评聘
魅力课堂
人才引进
科研创新
学科建设
科研项目
科研成果
创新创业
学科竞赛
学术交流
学生工作
心理健康
团学动态
奖勤助贷
易班建设
学子风采
教风学风
教学督导
学风督察
招生就业
招生宣传
就业指导
考研资讯
新生指南
招聘信息
校友之家
校友名录
校友风采
校友活动
规章制度
教学管理
科研管理
学生管理
专业认证
×
网站建设中
考研资讯
电气与电子工程学院2025届毕业…
电气与电子工程学院2024届毕业…
电气与电子工程学院2023届毕业…
电气与电子工程学院开展2025届…
电气与电子工程学院开展2025届…
研究生招生——2025年全日制硕…
电气与电子工程学院开展2024届…
不忘初心,方得始终——电气与…
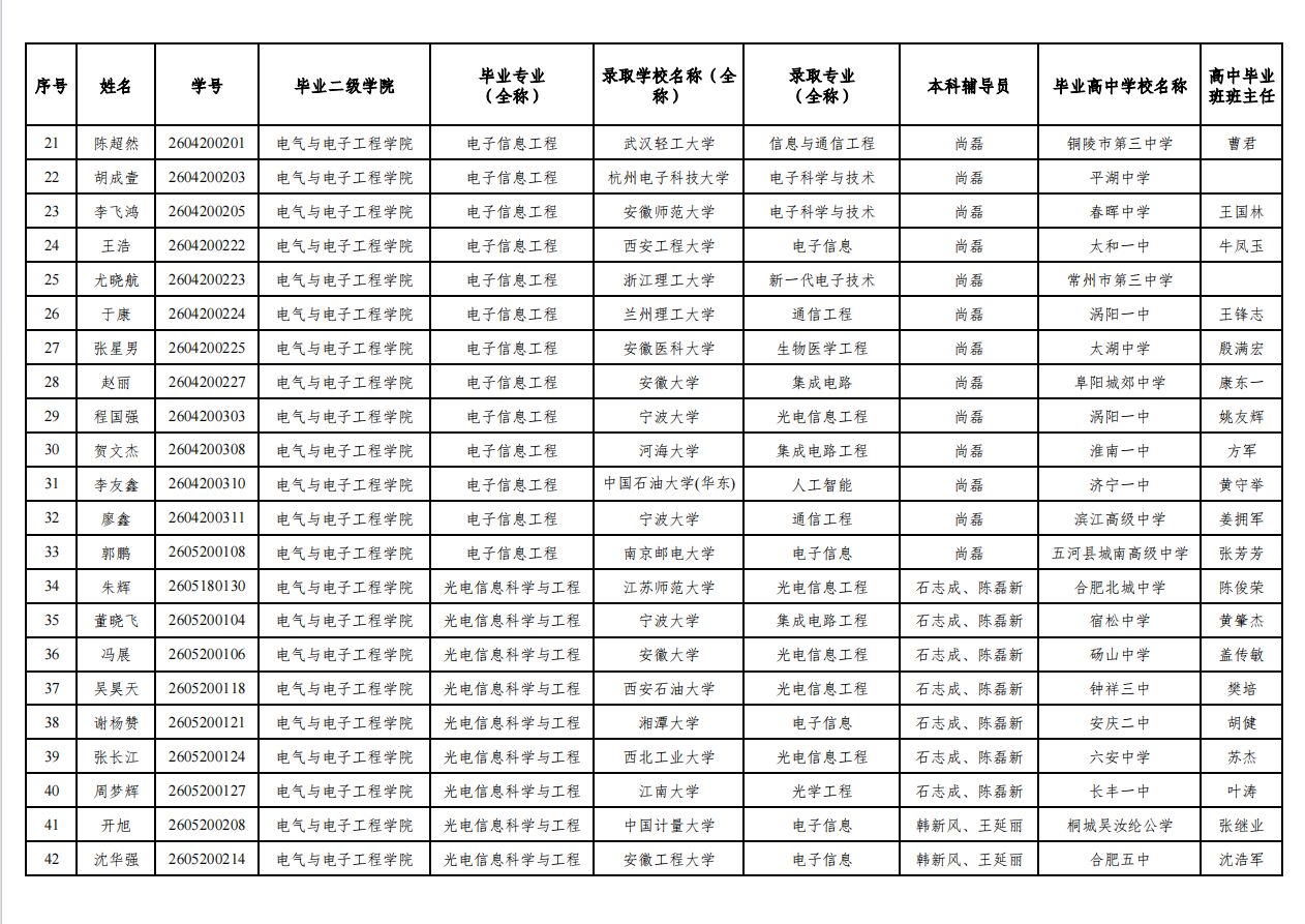
电气与电子工程学院2024届毕业生考取硕士研究生信息汇总表(55人)
点击: 更新时间:2024年05月07日 09:15
KY.COM-开元(中国)
|
星空在线-【官网】
|
KY.COM-开云(中国)
|
华亿在线手机版(大中国区)
|
m体育(中国)有限公司官网
|
华亿体育(中国)官方网站
|
乐鱼网页版页面登录-乐鱼leyu(中国)
|
乐鱼网页版登录入口-乐鱼(中国)
|
M体育平台·(中国)官方网站
|